
Testing services information on quantifying Dictyophorine B using the HPLC technique.
VISBIO provides services for examining and analyzing the biomarker components of Dictyophorine B in all health and beauty products within the industry. Dictyophorine B is derived from the natural bamboo mushroom, a plant rich in beneficial substances for nourishing the body and skin. Both Dictyophorine A and B contribute to protecting the nervous system from toxins and stimulating the growth of nerve cells and the brain. Compounds in the group of Dictyophorine A and B are known for their anti-inflammatory and cancer-inhibiting properties. They also promote the function of nerve cells and prevent neurodegenerative diseases.
Additionally, research on the brownish-green stinkhorn mushroom has revealed high levels of antioxidants and important substances that can be used in supplement products to enhance bodily strength. Furthermore, there are other significant compounds that can be developed into various health-related products.
Bamboo Fungus
When it comes to food we have eaten, many people might be familiar with or have heard of dishes like “Yen Ta Fo” (pink noodle soup), “Gaeng Jued” (clear soup), and “Pad Yen Ta Fo” (stir-fried pink noodle with tofu and vegetables). However, you might not know that these various dishes involving “Yen Ta Fo” are not related to bamboo shoots or utilize any components of bamboo plants. Instead, they are made from a type of mushroom known as “Stinkhorn” or “Bamboo Fungus.”
Stinkhorn mushrooms (Stinkhorn) belong to the genus Dictyophora, family Phallaceae, in the phylum Basidiomycota within the kingdom Fungi. They are commonly known as Basket Stinkhorn, Dancing Mushroom, Bamboo mushroom, or Bamboo Fungus. In Thai, they are called “Hed Rang Ha”. These mushrooms are elongated, with a long stalk and a distinctive cap.
When the Stinkhorn mushroom is still in its immature stage, it is covered by a membranous outer layer that resembles an egg. Inside, it is coated with a gelatinous substance similar to jelly, which helps protect the young mushroom from impact and maintains moisture. As the mushroom grows, the outer covering gradually ruptures, revealing the distinct jelly-like mass underneath. The stalk of the mushroom is white and has a porous structure with a spongy texture inside. The cap of the mushroom resembles a mesh or net, covering the stalk. The color of the cap varies, such as pink, red, orange, yellow, and white, depending on the type of mushroom.
Important Active Compounds in Bamboo Fungus
Key compounds present in bamboo fungus, including Finger Coral Mushroom or Ghost Hand Mushroom, include Hyaluronic acid, Allantoin, AHA (Alpha Hydroxy Acid), PHA (Polyhydroxy Acid) or Gluconic acid, and Fibroblast Growth Factors. These compounds are particularly important for body nourishment, joint health, and skincare.
Dictyophorines
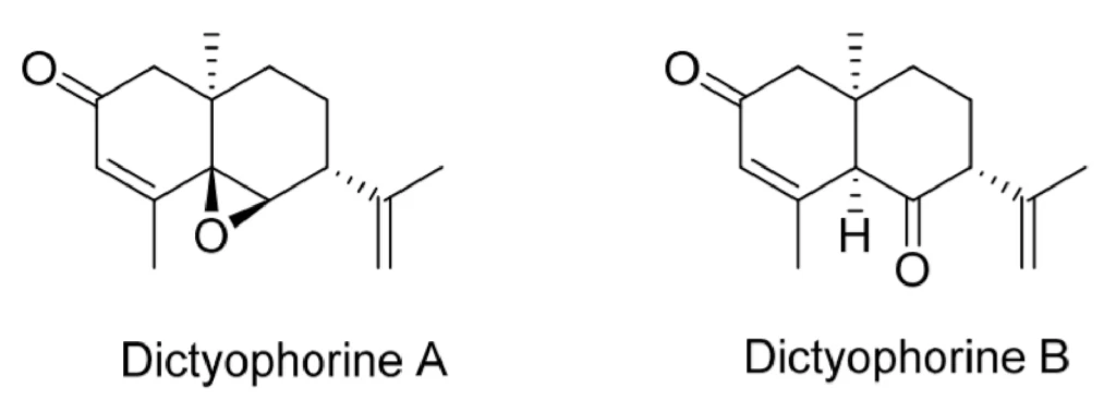
Dictyophorines are chemical compounds with the formula C15H20O2, belonging to the eudesmane-type sesquiterpenes group. They are found in two types of bamboo fungus, Dictyophorines A and B. Dictyophorines A and B have properties that stimulate collagen synthesis, nerve growth factor production, and hormonal regulation.
Allantoin
Allantoin, with the chemical formula C4H6N4O3, is also known as (2,5-Dioxo-4-imidazolidinyl) urea or 5ureidohydantoin. Allantoin promotes rapid cell proliferation and has special properties for repairing damaged tissues.
Allantoin (C4H6N4O3)
Hyaluronan Acid
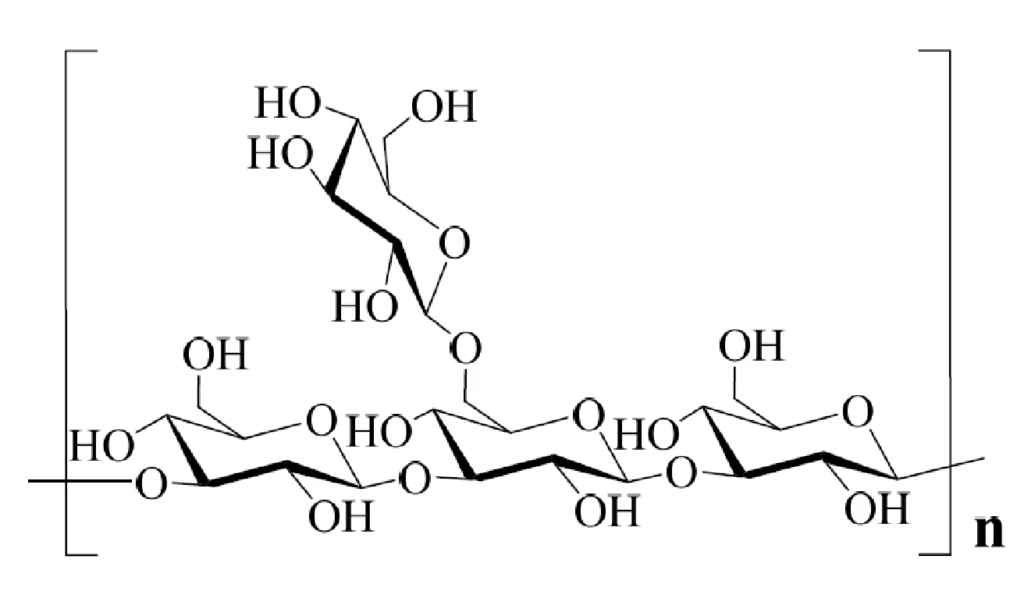
Hyaluronan, also known as hyaluronic acid, with the chemical formula (C14H21NO11)n, is a naturally occurring polysaccharide found in the body’s tissues. It’s abundant in the skin (50%) and other areas like soft cartilage (50%). Hyaluronan is a major component of synovial fluid, providing lubrication for joints and contributing to overall joint health.
Hyaluronan (C14H21NO11)n
Polysaccharide
Polysaccharides extracted from bamboo fungus, specifically 1,3-beta-glucans, have a molecular weight of 536 kilodaltons and a net carbohydrate content of 97.6%. These polysaccharides have antioxidant properties, support organ health, stimulate the immune system, and inhibit cancer cell growth.
Polysaccharide
Nutritional Benefits of Bamboo Mushroom
Bamboo mushrooms have relatively high nutritional value. They contain around 15-18% protein and 16 types of amino acids, including all 20 types that the human body requires. They are rich in riboflavin (Vitamin B2) and have higher nutritional value in the swollen fruiting bodies compared to the mature Dictyophora mushrooms.
Two significant compounds have been extracted from bamboo mushrooms: Polysaccharides and Dictyophorine A and B. These compounds have been found to have anti-inflammatory, anticancer, and neuroprotective properties. They can stimulate nerve cell activity and help prevent neurodegenerative diseases. Bamboo mushrooms are also known to contain antioxidants, and research has shown that they can be used to create supplements to enhance bodily functions.
Stem Components
Bamboo mushrooms’ stems contain compounds like Dictyophorines A and B, which are rare in other living organisms. These compounds possess anti-inflammatory properties, inhibit cancer, and stimulate nerve cell function. Additionally, brownish-green spores from the mushroom, known for their strong odor, have been researched and found to contain high levels of antioxidants. These compounds can be utilized for creating supplements to support overall well-being.
Cap of the Mushroom
The mushroom cap contains high levels of antioxidants that can delay various oxidative processes and reduce the risk of chronic diseases. The gel-like substance surrounding the mushroom cap contains hyaluronic acid and allantoin, known for their anti-inflammatory properties and their ability to improve skin condition by moisturizing and rejuvenating cells. Gluconic acid can stimulate skin cell turnover and collagen production.
Stalk and Veil
The stalk and veil of the bamboo mushroom contain polysaccharides, including beta-glucan, which enhance the immune system, stimulate and improve the efficiency of the body’s immune response system, and inhibit cancer. Additionally, Dictyophorines A and B are present in these parts, known for their anti-inflammatory properties and their ability to stimulate nerve cell activity, preventing neurodegenerative diseases.
Bamboo Fungus, a source of food, cosmetics, and commercial medicine.
Bamboo Fungus is rich in beneficial compounds, including antioxidants, anticancer agents, brainprotective compounds, and skin cell regeneration stimulants. These properties make it suitable for various health and beauty products, such as skincare, dietary supplements, and medicine. The essential compound Dictyophorines has the ability to stimulate collagen production, boost nerve growth factor synthesis, enhance collagen synthesis in the dermis, reduce inflammation, and stimulate nerve system function, thus preventing brain degeneration.
Other significant compounds found in Bamboo Fungus are hyaluronic acid and allantoin. These have anti-inflammatory properties, reduce skin irritation, increase moisture retention, and regenerate aging skin cells. Gluconic Acid accelerates skin cell turnover, stimulates collagen production, nourishes the skin, enhances moisture retention, and aids in shedding skin cells. It also contributes to collagen formation beneath the skin, resulting in well-hydrated skin and reducing the appearance of wrinkles. Contact for requesting testing services for the quantity of Dictyophorine B using HPLC technique.
Literature:
- “Comparison the bioactive compounds of Dictyopora spp. found in China and Thailand from its gel during egg stage” Dr. Sirilak Chumkhiao, Biology School of Science, 2018, Suranaree University of Technology
- “Research and Development Project of Bamboo Fungus (Phallus indusiatus) Cultivation by Using Different Fruit Leaves Combine with Climbing Vegetables for Value-Added of Waste in Fruit Orchard” Ajchara Bunroj and Watcharawit Rassami, The Faculty of Agricultural Technology, Rambhai Barni Rajabhat University 2017
- “ต้นแบบการผลิตเห็ดเยื่อไผ่ในสวนไผ่ครบวงจร เพื่อเป็นแหล่งอาหารเวชสำอาง และยา เชิงพาณิชย์” โครงการวิจัยที่จัดจ้างหน่วยงานภายนอก, มหาวิทยาลัยเทคโนโลยีราชมงคลอีสาน
- “ความแก่ของผิวหนัง: กลไกการเกิดระดับโมเลกุล การป้องกัน/การรักษา และสารธรรมชาติที่ใช้ ในการต่อต้านความแก่ของผิวหนัง” Thammanoon Rungsang, 2016 Faculty of Pharmacy University of Phayao
- “เห็ดเยื่อไผ่” ที่ไม่ได้มาจากไผ่ หรือเรียกอีกชื่อว่า “เห็ดร่างแห” นพวรรณ นิลสุวรรณ, นักวิชาการเกษตร ระดับชำนาญการ ศูนย์วิจัยและพัฒนาการเกษตรสงขลา จังหวัดสงขลา สำนักวิจัยและพัฒนาการเกษตร เขตที่ 8 จังหวัดสงขลา เว็บไซต์: https://psub.psu.ac.th/?p=5218 สืบค้นเมื่อวันที่ 5 มกราคม 66
“ซินโครตรอน วิจัยพบ “เห็ดเยื่อไผ่” สุดมหัศจรรย์อุดมไปด้วยสารคุณประโยชน์สูงเร่งต่อยอดผลิตอาหารเสริม-เวชสำอาง. ดร.วรวิกัลยา เกียรติ์พงษ์ลาภ สถาบันวิจัยแสงซินโครตรอน (องค์การมหาชน) กระทรวงวิทยาศาสตร์และเทคโนโลยี เว็บไซต์: https://www.slri.or.th/th/slriresearch/ซินโครตรอน-วิจัยพบ-“เห็ดเยื่อไผ่”-สุดมหัศจรรย์อุดมไปด้วยสารคุณประโยชน์สูงเร่งต่อยอดผลิตอาหารเสริม-เวชสำอาง. สืบค้นเมื่อวันที่ 5 มกราคม 66 - “วุ้นธรรมชาติจากเห็ดเยื่อไผ่ | สารบำรุงผิวบำรุงเซลล์” อานนท์ เอื้อตระกูล, เว็บไซต์: https://anonbiotec.net/th/ไม่มีสิ่งมีชีวิตใดในโล สืบค้นเมื่อวันที่ 5 มกราคม 66“นักวิจัยไทยพบ “เห็ดเยื่อไผ่” มีสารต้านมะเร็ง- ช่วยชะลอวัย” เว็บไซต์: https://www.thaipbs.or.th/news/content/268338 สืบค้นเมื่อวันที่ 5 มกราคม 66